Τα νέα εργαστηριακά επιβεβαιωμένα κρούσματα της νόσου που καταγράφηκαν τις τελευταίες 24 ώρες είναι 2.249, εκ των οποίων 6 εντοπίστηκαν κατόπιν ελέγχων στις πύλες εισόδου της χώρας.
Οι νέοι θάνατοι ασθενών με COVID-19 είναι 30,
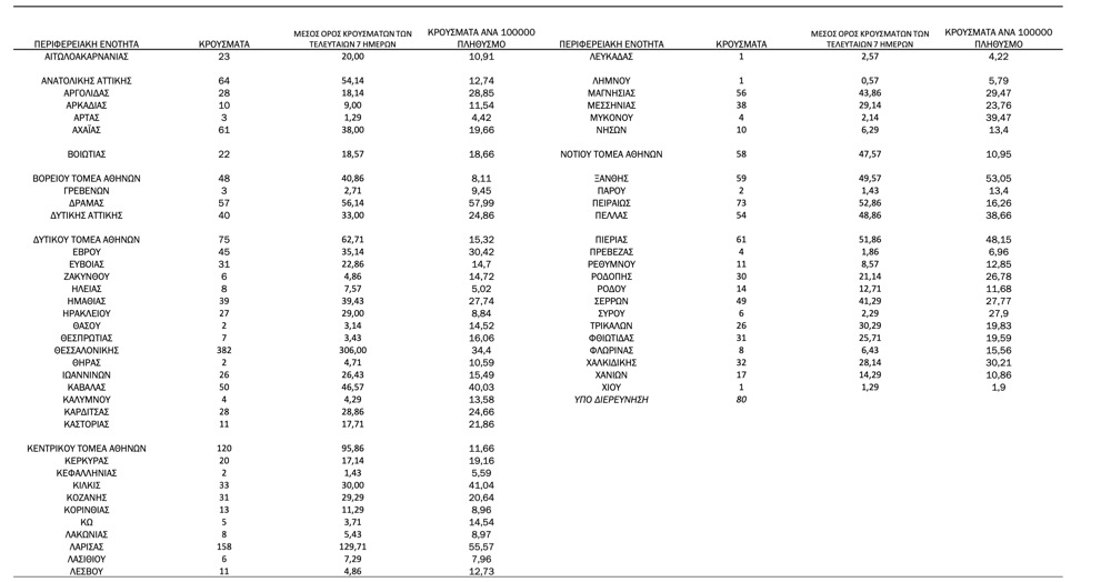
Στην Π.Ε Τρικάλων εντοπίστηκαν 26 νέα κρούσματα σχεδόν τα μισά από χθες που ήταν 48
Ο αριθμός των ασθενών που νοσηλεύονται διασωληνωμένοι είναι 335 (61.5% άνδρες). Η διάμεση ηλικία τους είναι 66 έτη. To 80.0% έχει υποκείμενο νόσημα ή/και ηλικία 70 ετών και άνω. Μεταξύ των ασθενών που νοσηλεύονται διασωληνωμένοι, 294 (87.76%) είναι ανεμβολίαστοι ή μερικώς εμβολιασμένοι και 41 (12.24%) είναι πλήρως εμβολιασμένοι. Από την αρχή της πανδημίας έχουν εξέλθει από τις ΜΕΘ 3.202 ασθενείς.
Οι εισαγωγές νέων ασθενών Covid-19 στα νοσοκομεία της επικράτειας είναι 206 (ημερήσια μεταβολή +6.19%). Ο μέσος όρος εισαγωγών του επταημέρου είναι 167 ασθενείς.Η διάμεση ηλικία των κρουσμάτων είναι 39 έτη (εύρος 0.2 έως 106 έτη), ενώ η διάμεση ηλικία των θανόντων είναι 78 έτη (εύρος 0.2 έως 106 έτη).
Trikala Day Καθημερινή Ηλεκτρονική Εφημερίδα των Τρικάλων


